摘要:本文用钯化合物催化溴代苯胺与对称炔烃的吲哚化反应。通过研究不同催化剂、溶剂、无机盐、温度、反应时间等因素对反应的影响来确定最佳的反应条件。并对氢谱进行表征。69320
毕业论文关键词:钯化合物;催化剂;吲哚化
The formation of indole by the reaction of bromoaniline with symmetrical alkynes catalyzed by Pd-NHC complex
Abstract: This paper reports the indole reaction with bromoaniline and symmetrical alkyne catalyzed by palladium compound. The optimal reaction conditions were determined by studying the effects of different catalysts, solvents, inorganic salts, temperature, reaction time and other factors on the reaction. Besides, we characterize 1H NMR spectral date.
Keywords: palladium compound; catalyst; indole
前言
一、选题依据与来源
过渡金属能高效催化C-H键活化反应,且具有优秀的催化活性与选择性,对有机合成有着重大影响力,其中钯的催化性能更为优异。金属钯易于保存且不易被强酸侵蚀。钯催化剂的主要活性组分是钯,载体为沸石、氧化铝等,助催化剂为Na、Cd、Pb等的盐。钯在温和的反应条件下就可以进行催化,对环境友好,符合绿色化学的理念[1]。
吲哚是一种来源甚广的杂环结构,它以及其衍生物在人类的生活中起着至关重要的作用并有着不小的影响力。迄今为止,我们广泛使用的药品等工业产品中,大部分包含了吲哚环。由于吲哚化合物结构多样且应用价值高,所以当今有机化学研究的热点之一就是吲哚类化合物的合成及其应用[2-3]。
二、吲哚的合成研究的现状与水平
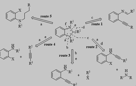
在最近几年中,已经确定过渡金属催化体系对官能团的建立与修改上有重要作用,尤其是钯,从而创建了更多、更有效的方式来建立吲哚环(图 1)[4-13]。

图 1 钯化合物催化合成吲哚的多种方法
2004年,森纳那亚克等人用二茂铁磷配体及醋酸钯合成了2,3-取代吲哚,选择性比较高且效果显著(图 2)[14]。
图2 用二茂铁磷配体和醋酸钯合成2,3-取代吲哚
2011年,Donald McAusland等人报道了一种新的用活性中间体苯炔合成Fischer吲哚的方法。向苯炔中加入N-甲苯磺酰腙,产生通过氟化活化2-(三甲基甲硅烷基)苯基三氟甲磺酸酯的前体,导致有效的N-芳基化。然后在相同的反应器中加入路易斯酸,由费歇尔环化反应得到N-甲苯磺酰吲哚产物(图3)[15]。
图3 苯炔费歇尔吲哚化反应
2014年,Ye Wei等人报道了一个操作简单的、钯催化的N-芳基亚胺环化反应,通过在温和条件下将氧分子作为唯一的氧化剂,使两个C-H键氧化连结得到吲哚。该过程可以用廉价且易得的苯胺与酮快速且原子经济地形成吲哚环,而且对于官能团亦具有广泛适应性(图4)[16]。
图4 用苯胺和酮合成吲哚环
三、本文的创新点和意义
上述所用的合成吲哚的催化体系各存在一些缺点和不足。首先,图2所示方法中第一醋酸钯的需求剂量较大,且由于膦配体的价格过高而造成了成本颇高;第二是对环境的污染较大;第三,由于反应需要在严格的无氧无水条件下进行,要求严苛,因此可操作性较低。其次,图3所示方法合成方向较为单一。再次,图4所示方法为两步合成。这些局限性抑制了大规模催化合成吲哚。因此,找到成本低,选择性高且环境友好的催化体系显得尤为必要。
依据现已有的研究成果,我们首次以NHC-Pb化合物为催化剂成功合成了2,3-取代吲哚,我们所使用的催化体系无需严格的反应条件,且所用催化剂安全、便宜,用量也较小,对环境友好并且节约资源,符合绿色化学的理念,在有机合成的研究中意义重大。